Princeton-calculus-Reader-revised-edition-note-4

Princeton-calculus-Reader-revised-edition-note-4
风铃夜行要注意绝对值

fun fact:
更准确的
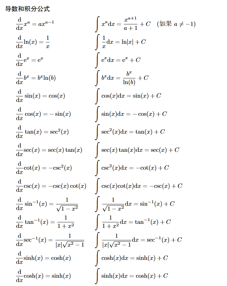
相比于此前更简单数学的理论,积分的理论更加经验化,基本由一些特解形成的公式组成。

已经晚上十点了,明天起床先做这道题再继续。

评论
匿名评论隐私政策

要注意绝对值

fun fact:
更准确的
相比于此前更简单数学的理论,积分的理论更加经验化,基本由一些特解形成的公式组成。

已经晚上十点了,明天起床先做这道题再继续。
